Selectividad Andalucía 2018 sept supl B4
Una cadena de supermercados desea estimar la proporción de clientes que adquiere un determinado producto. Para ello ha tomado una muestra aleatoria simple de 1000 clientes y ha observado que 300 compraban ese producto.
– a) Halle, con un nivel de confianza del 95 %, un intervalo de confianza para estimar la proporción de clientes del supermercado que compra ese producto.
– b) Si en otra muestra la proporción de clientes que compra ese producto es de 0.25 y el error cometido en la estimación ha sido inferior a 0.03, con un nivel de confianza del 92.5 %, calcule el tamaño mínimo de la muestra.
SOLUCIÓN
– a) Nos piden un intervalo de confianza para la proporción

Y nos aportan los datos:
–
(proporción de la muestra)
–
(proporción de la población; cuando no se conozca se toma la proporción de la muestra)
–
: tamaño de la muestra
– confianza: ![]()
Cálculo del valor crítico ![]()

Miramos la tabla de la N(0,1) y obtenemos 
Con todos los datos ya disponibles, creamos el intervalo de confianza


![]()
![]()
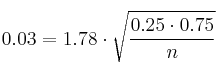
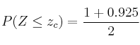
– b) En el apartado b nos piden el tamaño de la muestra (n) con estos datos:
-
(proporción de la muestra)
–
(proporción de la población; cuando no se conozca se toma la proporción de la muestra)
–
: tamaño de la muestra (desconocido)
– confianza:
–
(error máximo admitido)
Cálculo del valor crítico ![]()

Miramos la tabla de la N(0,1) y obtenemos 
Usamos la fórmula del Error para calcular n






Por tanto el tamaño ed la muestra debe ser 