Selectividad Andalucía 2018 Septiembre A4
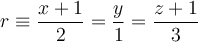
Considera las rectas
![]()
– a) Estudia y determina la posición relativa de
y
– b) Calcula la distancia entre
y ![]()
SOLUCIÓN
Usaremos el método de los vectores para estudiar la posición relativa.
Recordemos que necesitamos un vector director de cada recta y un tercer vector formado por un punto de cada recta.
![]()
![]()
![]()
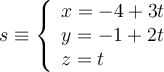
![]()
Pasamos la recta "s" a ecuaciones paramétricas

![]()
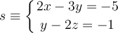
![]()
Formamos el tercer vector
![]()
Ahora podemos construir la matriz formada por los tres vectores

![]()
Las rectas se cruzan.
– b) Tenemos que hallar la distancia entre dos rectas que se cruzan.
Usaremos el método 1 explicado en la teoría
Construimos un plano
que contenga a
y sea paralelo a ![]()

Resolvemos el determinante, operamos y simplificamos.
Finalmente nos queda como ecuación del plano:
![]()
Ahora tenemos que buscar un punto de la recta "s" y hallar su distancia al plano
(usaremos la fórmula de la distancia de un punto a un plano)
![]()
