Selectividad Andalucía 2015-6-A3
Un estudio estadístico determina que la noche del 31 de diciembre conduce el 5% de la población, el 20% consume alcohol esa noche y el 2% conduce y consume alcohol.
– a) ¿Son independientes los sucesos “conducir” y “consumir alcohol”?
– b) ¿Qué porcentaje de la población no conduce ni consume alcohol esa
noche?
– c) De las personas que consumen alcohol, ¿qué porcentaje conduce esa
noche?
SOLUCIÓN
Usamos los sucesos:
– C = "conducir"
– A = "consumir alcohol"
Anotamos los datos que proporciona el enunciado:
![]()
![]()
![]()
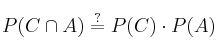
a) C y A independientes
![]()

![]()
Por tanto, no son independientes
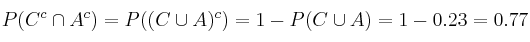
b) Nos piden ![]()
Cuando tengamos dos contrarios (en unión o intersección) aplicamos las leyes de Morgam
![]()
Usamos la fórmula de la union para calcular ![]()
![]()
![]()
Por tanto
![]()
Como lo piden en porcentaje, la rspuesta es ![]()
c) Nos piden P(Conducir "sabiendo que" cosume Alcohol).
Se trata de una condicionada, por tanto debemos aplicar la fórmula de la probabilidad condicionada

Como lo piden en porcentaje, la rspuesta es ![]()