Selectividad Andalucía 2013-1-A3
En un experimento aleatorio, la probabilidad de que ocurra un suceso A es 0.68, la de que ocurra otro suceso B es 0.2, y la de que no ocurra ninguno de los dos es 0.27. Halle la probabilidad de que:
– a) Ocurran los dos a la vez.
– b) Ocurra B pero no A.
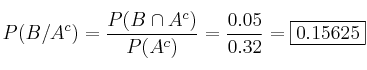
– c) Ocurra B, sabiendo que no ha ocurrido A.
SOLUCIÓN
Datos del problema:
Para resolver el ejercicio debemos conocer el Resumen de Fórmulas de Probabilidad
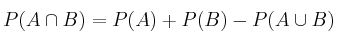
– a) Nos piden
. Usaremos la foŕmula de la unión:
donde despejamos
, quedando:
Conocemos
y
. Nos falta por obtener
, que lo sacaremos del tercer dato que nos aporta el ejercicio:
Aplicando las leyes de Morgan tenemos que
Por tanto
. Con todos los datos, basta con aplicarlos a la fórmula:

– b) 
– c) 
Mensajes
4 de diciembre de 2018, 23:34, por Shirley casyro
Ayudemen a resolver el ejecicio