Selectividad Andalucía 2011-1-A3
andalucíaecuacion_matricialEjercicios_ResueltosMatematicasII_Andalucía_2011matricesmatriz inversaselectividad
Considera las matrices:

y ![]()

– a) ¿Hay algún valor de
para el que
no tiene inversa?
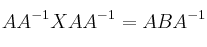
– b) Para
, resuelve la ecuación matricial ![]()
SOLUCIÓN
– a) No hay
cuando ![]()
![]()
No hay soluciones reales, por tanto no hay ningún valor real de
para el que
no tenga inversa.
– b)
![]()


Mensajes
21 de marzo de 2018, 20:16, por Maria
Esta mal calculada la inversa .
21 de junio de 2018, 11:16, por dani
El resultado de la inversa es correcto