Selectividad Andalucía 2008-6-A3
andalucíadiscutir_sistemaEjercicios_ResueltosMatemáticasII_Andalucía_2008selectividadsistema_con_parámetros
– (a) Determina razonadamente los valores del parámetro
para los que el siguiente sistema de ecuaciones tiene más de una solución:

– (b) Resuelve el sistema anterior para el caso
y para el caso
.
SOLUCIÓN
– a) Calculamos el determinante de la matriz de los coeficientes:
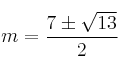
Igualamos a cero y resolvemos la ecuación:
; 
Cuando
y
el det(A) será distinto de cero y entonces rg(A)=3 = rg(A*)=nº inc. (S.C.D.)
Para
y para
el sistema tiene infinitas soluciones pues rg(A)=2=rg(A*)<nºinc. (S.C.I.)
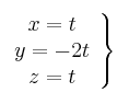
– b) Para
es S.C.Det. con la única solución
Para
es S.C. Indet. (infinitas soluciones). Las soluciones son:

Mensajes
22 de septiembre de 2018, 13:36, por Angel
en el apartado a, creo que hay un error; concretamente al decir cuando m es distinto de 1 y de -7raiz de etc. dices que el rango de A es 3 y creo que es correcto pero el rango de A* deberia ser 2, debido a que en la matriz ampliada solo queda una fila de 0. Aclarar mi duda por favor, gracias. Gran trabajo.
24 de septiembre de 2018, 11:01, por dani
La matriz ampliada (A*) contiene a la matriz A, por tanto el rango de la ampliada NUNCA puede ser menor que el rango de A (siempre será igual o mayor).
Un saludo.