Selectividad Andalucía 2008-6-A1
Sea
la función definida por ![]()
– (a) Determina los intervalos de crecimiento y de decrecimiento de
– (b) Calcula los extremos relativos de
(abcisas donde se obtienen y valores que se alcanzan)
SOLUCIÓN
![]()
![]()
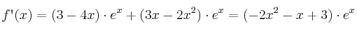
![]()
Dado que
no puede ser cero, nos queda que:
![]()
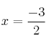
Resolvemos la ecuación y obtenemos como soluciones
y ![]()
Los intervalos a considerar son:
![]()
Tomamos un punto de cada intervalo y le aplicamos la derivada:
DECRECE
CRECE
DECRECE
–
Decrece
–
Crece
–
Decrece
– MIN
– MAX![]()
La gráfica de la función sería la siguiente:
