Selectividad Andalucía 2004-4-A2
– a) Calcule la ecuación de la recta tangente a
en el punto de abcisa
– b) ¿En qué punto de la gráfica de la función
, la recta tangente es paralela a
?
– c) Sea
. Halle
para que el valor mínimo de
sea ![]()
SOLUCIÓN
– a) La recta tangente en x=2 viene dada por la fórmula:
Si la aplicamos a la función
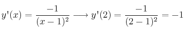
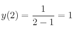
debemos calcular antes:

Por tanto quedaría:
![]()
– b) Nos están pidiendo un punto "a" donde la tangente es paralela a
, es decir, donde la tangente tenga pendiente 3, es decir, un punto "a" donde la derivada valga 3.
Recordemos que:
– dos rectas son paralelas cuando tengan la misma pendiente
– la derivada es la pendiente de la recta tangente
El único punto es ![]()
– c)
![]()
Los extremos (máximos y mínimos) se encuentran en los puntos que anulan la 1ª derivada.
Como
tenemos que hay un mínimo en
El enunciado nos pide que el valor del mínimo sea 3, entonces tiene que ser
