Selectividad Andalucía 2001-3-A3
Se sabe que la matriz

verifica que det(A) = 1 y sus columnas son vectores perpendiculares dos a dos.
– (a) Calcula los valores de
y
.
– (b) Comprueba que para dichos valores se verifica que
donde
es la matriz traspuesta de A.
SOLUCIÓN
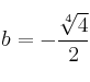
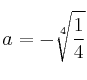
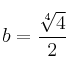
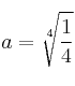
– a) Solución 1:
;
Solución 2:
; ![b=\frac{\sqrt[4]{4}}{2} b=\frac{\sqrt[4]{4}}{2}](local/cache-TeX/c14af58dab892eded8c1de048eb1fc65.png)