Programación Lineal: mesa y 4 sillas
En una carpintería, que consta de tres secciones, se construyen mesas y conjuntos de 4 sillas. En la primera sección se cortan las piezas que conforman los muebles, invirtiéndose una hora en el conjunto de las 4 sillas y tres horas en la mesa. En la segunda sección se realiza el ensamblaje de las piezas, empleándose 1 hora y 20 minutos, tanto para las sillas como para la mesa. Por último, en la tercera sección se pulen los muebles, tardándose 2 horas y 30 minutos en finalizar las 4 sillas y sólo 8/7 de hora en la mesa. Debido a las características de la empresa, sólo se puede trabajar un máximo de 61 horas semanales en las secciones 2ª y 3ª y 60 horas en la 1ª. Sabiendo que las ganancias por el conjunto de las 4 sillas y la mesa son respectivamente, 800 € y 600 €, organiza tú mismo cómo debiera ser la producción para que así los beneficios fuesen máximos.
SOLUCIÓN
Ponemos los datos en una tabla:

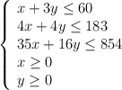
El sistema de inecuaciones a resolver es el siguiente:

Aunque no es obligatorio, vamos a simplificar las inecuaciones antes de ponernos a representarlas gráficamente.
En primer lugar multiplicamos por 7 la tercera inecuación (para quitar denominadores).
A continuación dividimos por 10 las tres primeras inecuaciones. Nos quedaría:

Aún podemos simplificar más: dividiendo por 6 la primera, dividiendo por 2 la segunda y dividiendo por 3 la tercera:

La región factible quedaría así:
Los vértices conocidos son ![]()
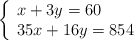
Para calcular el cuarto vértice resolvemos el sistema formado por las ecuaciones de las dos rectas que pasan por dicho vértice.
![]()
Despejamos x en la primera ecuación y sustituimos en la segunda
![]()
![]()
![]()
![]()
![]()
![]()
El cuarto vértice es el punto (18,14)
Para calcular el beneficio máximo aplicamos la función objetivo a los 4 vértices
![]()
![]()
![]()
![]()
![]()
El beneficio máximo sería de 22800 euros. Se obtendría fabricando 18 conjuntos de 4 sillas y 14 mesas.