Navega sin publicidad Regístrate GRATIS

Problemas que se resuelven con ecuaciones

Ejercicios_Resueltosproblemas_con_ecuaciones

Encuentra un número cuyo cuadrado sea igual al cuadrado del número anterior más 23 unidades.

SOLUCIÓN

Asignamos incógnitas a los datos que nos pidan

Número desconocido \longrightarrow x

Además, debemos recordar que:
Número anterior \longrightarrow x-1

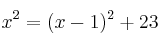
Expresamos el enunciado en lenguaje matemático:

x^2 = (x-1)^2+23


Debemos aplicar las fórmulas de las igualdades notables

x^2 = x^2 + 1^2 -2 \cdot x \cdot 1+23


x^2 = x^2 + 1 -2x +23


Parece una ecuación de segundo grado.
Pasamos todo al primer miembro

x^2 - x^2 - 1 +2x -23 = 0


\cancel{x^2} \cancel{- x^2}  +2x -24 = 0


Se queda en una ecuación de primer grado

2x -24 = 0


2x =24


x =\frac{24}{2}


x = 12

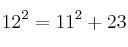
Podemos comprobarlo:

12^2 = 11^2 + 23


144 = 121 + 23


144 = 144

Por tanto es correcto.
El número pedido es el 12

Comentar el ejercicio