Problemas. Pitágoras
Calcula lo que mide la diagonal de un cuadrado sabiendo que su lado mide igual que la diagonal de un rectángulo de lados 12 m. y 5 m.
SOLUCIÓN
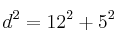
El lado del cuadrado mide igual que diagonal de un rectángulo de lados 12 y 5
Si aplicamos el teorema de Pitágoras podemos calcular esa diagonal
![]()
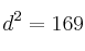
![]()
![]()

Por tanto el lado del cuadrado mide 13
Ahora por Pitágoras calculamos la diagonal
![]()
![]()
![]()

la diagonal vale 