Problema con sistema de 2 ecuaciones y 2 incógnitas 4417
Alejandra dijo: "si yo tuviera uno de tus CD, tendría tantos como tú". Leandro dijo: "si yo tuviera uno de los tuyos, tendría el doble de los que tienes". ¿Cuántos CD tenía cada uno?.
SOLUCIÓN
Número de CDs que tiene cada uno:
Alejandra ![]()
Leandro ![]()
Alejandra: "si yo tuviera uno de tus CD, tendría tantos como tú".
Si le da uno, entonces tienen:
Alejandra ![]()
Leandro ![]()
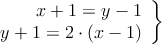
Si tienen los mismos: ![]()
Leandro: "si yo tuviera uno de los tuyos, tendría el doble de los que tienes"
Si le da uno, entonces tienen:
Alejandra ![]()
Leandro ![]()
Si Leandro tiene el doble: ![]()
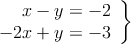
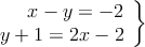
Resolvemos el sistema formado por las dos ecuaciones:
![]()
![]()
![]()

![]()
Alejandra tiene 5 CDs y Alejandro tiene 7.