Problema billetes resuelto con sistema 2x2
Tenemos 60 € en billetes de 5 € y de 10 €. Sabiendo que el número de billetes de 5€ es el cuádruple del número de billetes de 10€ , averigua cuántos billetes tenemos de cada clase.
SOLUCIÓN
Asignamos incógnitas a los datos que nos piden:
nº de billetes de 5€ ![]()
nº de billetes de 10€ ![]()
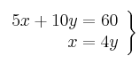
Con los datos que proporciona el enunciado elaboramos las ecuaciones:
En total 60€
![]()
El nº de billetes de 5€ es el cuádruple que el de 10€
![]()
Resolvemos el sistema de dos ecuaciones con dos incógnitas

Tenemos despejada "x" en la 2ª ecuación.
Sustituimos en la 1ª ecuación:
![]()
![]()
![]()

Entonces:
![]()

Billetes de 5 euros: 8
Billetes de 10 euros: 2
Mensajes
25 de noviembre de 2021, 19:54, por Carl0s
No entiedo por qué x=4y.
Si por cada 4x(5€) hay un y(10€), ¿no debería ser 4x=y?