Probabilidad. Ruleta de colores
Disponemos de dos ruletas de colores (se muestran en la siguiente imagen). Calcula, para cada una de ellas las probabilidades de salir Rojo, Verde, Amarillo y Azul.
SOLUCIÓN
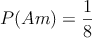
Ruleta 1
![]()
![]()
![]()
![]()
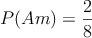
Ruleta 2
![]()
![]()
![]()
![]()
Disponemos de dos ruletas de colores (se muestran en la siguiente imagen). Calcula, para cada una de ellas las probabilidades de salir Rojo, Verde, Amarillo y Azul.
![]()
![]()
![]()
![]()
![]()
![]()
![]()
![]()
Mensajes
15 de noviembre de 2020, 20:25, por Kevin José
En una ruleta de 4 colores esta el rojo, naranja, verde y amarillo que probabilidad hay de que salga rojo