Posición Relativa Recta-Circunferencia
Halla la posición relativa de la recta
y la circunferencia ![]()
SOLUCIÓN
Para hallar la posición relativa entre recta y circunferencia podemos usar dos métodos:
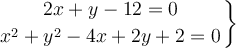
Uno de ellos es resolviendo el sistema de ecuaciones:
![]()
Vamos a resolver por sustitución. Despejamos «y» en la primera ecuación y sustituimos en la segunda ecuación
![]()
![]()
![]()
![]()
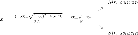
Resolvemos la ecuación de segundo grado:

No haya solución, por tanto la recta y la circunferencia no tienen ningún punto en común: la recta es exterior a la circunferencia
Recta exterior a circunferencia
Posición relativa de recta y circunferencia
matematicasies.com