Navega sin publicidad Regístrate GRATIS

Polinomios. Teorema del Resto

Ejercicios_Resueltosteorema_resto

Calcula a y b para que el polinomio x^3-ax^2+7x+b sea divisible por (x-5) y de un resto de 9 al dividir por (x-2)

SOLUCIÓN

Tenemos P(x)=x^3-ax^2+7x+b
Aplicamos el Teorema del resto

Si es divisible por (x-5) entonces P(5)=0

Si da un resto de 9 al dividir por (x-2) entonces P(2)=9

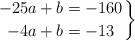
P(5)=0 \longrightarrow 5^3-a \cdot 5^2+7 \cdot 5+b = 0 \longrightarrow \color{red}{125-25a+35+b=0}
P(2)=9 \longrightarrow 2^3-a \cdot 2^2+7 \cdot 2+b = 9 \longrightarrow \color{red}{8-4a+14+b=9}

Debemos resolver el sistema formado por ambas ecuaciones (en rojo).

Ordenamos las ecuaciones:

\left. -25a+b  = -160 \atop -4a+b = -13 \right\}

Resolvemos y obtenemos: \fbox{a=7} y \fbox{b=15}

Comentar el ejercicio