Polinomio con raíz el doble de otra raíz
Determine el valor de
, para que el polinomio
, tenga una raíz igual al doble de la otra.
SOLUCIÓN
Supongamos que las raíces son
y
.
Entonces por el teorema del factor (basado en el teorema del resto):
![]()
![]()
Haciendo cálculos, las ecuaciones quedarían así:
![]()
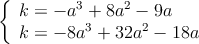
Podemos despejar
en ambas ecuaciones e igualar los resultados
![]()
![]()
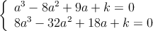
Ordenamos y resolvemos la ecuación de tercer grado
![]()
![]()

La raíz
no nos sirve. Para cada una de las otras dos soluciones obtendremos un valor de ![]()
![]()
![]()