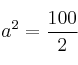
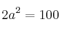
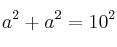
Pitágoras. Lado de cuadrado a partir de diagonal Ejercicios_Resueltosgeometríapitágoras Calcula el lado de un cuadrado, cuya diagonal mide 10 cm. SOLUCIÓN Por el teorema de Pitágoras: Comentar el ejercicio