Navega sin publicidad Regístrate GRATIS

Pitágoras

💬 1

  Ejercicios_Resueltosgeometríapitágorastriángulos

En los siguientes triángulos se indica la medida de sus lados. Averigua cuáles de ellos son triángulos rectángulos:

 a) 3 cm, 4 cm y 5 cm
 b) 4 cm, 6 cm y 8 cm
 c) 12 cm, 16 cm y 20 cm

SOLUCIÓN

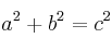
Para que un triángulo sea rectángulo, debe cumplir el teorema de Pitágoras:
a^2+b^2=c^2 (donde a y b son los catetos, y el lado más largo c, es la hipotenusa)

 a) ¿3^2+4^2=5^2?
9+16=25
Si. Es rectángulo

 b) ¿4^2+6^2=8^2?
16+36 \neq 64
NO. No es rectángulo

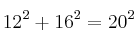
 c) ¿12^2+16^2=20^2?
144+256=400
Si. Es rectángulo

Comentar el ejercicio

Mensajes