Navega sin publicidad Regístrate GRATIS

Muestreo Estratificado con Afijación Proporcional 2

Ejercicios_Resueltosinferenciamuestreo

En un instituto hay 110 alumnos de 1º ESO, 99 de 2º ESO, 77 de 3º ESO y 66 de 4º ESO. Se toma una muestra para hacer una encuesta, usando muestreo estratificado con afijación proporcional. Se sabe que en la muestra había 20 alumnos de 1º ESO. ¿Cuántos alumnos hay en la muestra de los demás cursos y cuál es el tamaño de la muestra?

SOLUCIÓN

TOTAL 1ºESO 2º ESO 3º ESO 4º ESO
Población 352 110 99 77 66
Muestra X 20 x_2 x_3 x_4

\frac{352}{X} = \frac{110}{20} = \frac{99}{x_2} = \frac{77}{x_3} = \frac{66}{x_4}

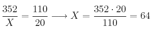
\frac{352}{X} = \frac{110}{20} \longrightarrow X = \frac{352 \cdot 20}{110} = 64

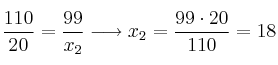
\frac{110}{20} = \frac{99}{x_2} \longrightarrow x_2 = \frac{99 \cdot 20}{110} = 18

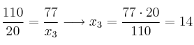
\frac{110}{20} = \frac{77}{x_3} \longrightarrow x_3 = \frac{77 \cdot 20}{110} = 14

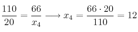
\frac{110}{20} = \frac{66}{x_4} \longrightarrow x_4 = \frac{66 \cdot 20}{110} = 12

Por tanto los datos completos serían:

TOTAL 1ºESO 2º ESO 3º ESO 4º ESO
Población 352 110 99 77 66
Muestra 64 20 18 14 12

Comentar el ejercicio