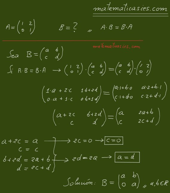
La solución es correcta y suficiente para un alumno de Bachillerato tal y como se plantean las matemáticas a ese nivel. Desde un punto de vista matemático, sin embargo, sólo se está probando la implicación directa. Sería necesario cerciorarse de que conmutan comprobando que cualquier matriz del tipo expuesto conmuta. Sino sólo se prueba la unicidad pero no la existencia.
En realidad todos los pasos son reversibles. Conmutan si y sólo si se cumplen esas ecuaciones que tienen esa solución única. Ha desarrollado AB y BA e igualdo y se da la igualdad si y sólo si se cumplen las ecuaciones, por lo que no es necesaria la comprobación.
Mensajes
27 de abril de 2016, 14:28, por Juan
La solución es correcta y suficiente para un alumno de Bachillerato tal y como se plantean las matemáticas a ese nivel. Desde un punto de vista matemático, sin embargo, sólo se está probando la implicación directa. Sería necesario cerciorarse de que conmutan comprobando que cualquier matriz del tipo expuesto conmuta. Sino sólo se prueba la unicidad pero no la existencia.
22 de diciembre de 2019, 09:33, por Raúl
En realidad todos los pasos son reversibles. Conmutan si y sólo si se cumplen esas ecuaciones que tienen esa solución única. Ha desarrollado AB y BA e igualdo y se da la igualdad si y sólo si se cumplen las ecuaciones, por lo que no es necesaria la comprobación.
30 de abril de 2016, 06:37, por Edith
Gracias, me aclaro la duda.