Intervalo de confianza para la proporción. Ejercicio 4524
Para estimar la proporción de jóvenes (mayores de 16 años) de la localidad de Pulpí que bebe alcohol los fines de semana, se pregunta a 80 jóvenes resultado que 32 de ellos afirman beber alcohol los fines de semana.
a) Determine un intervalo de confianza, al 99% , para la proporción de jóvenes que bebe alcohol los fines de semana
b) Con la misma proporción y nivel de confianza del apartado anterior, encuentre el tamaño mínimo de la muestra para estimar la proporción con un error inferior al 10%
SOLUCIÓN
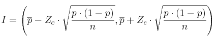
a) Nos están pidiendo un intervalo de confianza para la proporción, por lo que debemos aplicar la siguiente fórmula para el intervalo:

El tamaño de la muestra es ![]()
La proporción de la muestra es ![]()
Como la proporción de la población es desconocida, se toma la proporción de la muestra: ![]()
Cálculo del valor crítico
para una confianza del ![]()
![]()
Buscamos en el interior de la tabla el número más próximo a 0.995 y obtenemos un valor de ![]()
Ya tenemos los datos para generar el intervalo


![]()
![]()
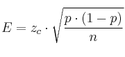
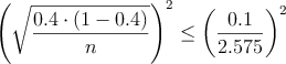
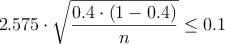
b) La fórmula del error es:

![]()
![]()
![]()

![]()
![]()
![]()
![]()
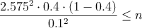
Por tanto, para que el error sea inferior al
, la muestra debe ser de al menos 160 ![]()