Integrales Regla Barrow
Calcula las integrales de las siguientes funciones entre
y
aplicando la regla de Barrow:
–
–
–
–
– ![]()
SOLUCIÓN
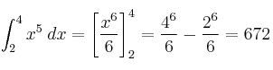
![\int_2^4 x^5 \: dx = \left[ \frac{x^6}{6} \right]_2^4 = \frac{4^6}{6} - \frac{2^6}{6} = 672 \int_2^4 x^5 \: dx = \left[ \frac{x^6}{6} \right]_2^4 = \frac{4^6}{6} - \frac{2^6}{6} = 672](local/cache-TeX/f086f1be1b3dfa5abd4dee2c7aa289cc.png)
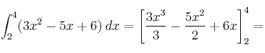
![\int_2^4 (3x^2-5x+6) \: dx= \left[ \frac{3x^3}{3}-\frac{5x^2}{2}+6x \right]_2^4 = \int_2^4 (3x^2-5x+6) \: dx= \left[ \frac{3x^3}{3}-\frac{5x^2}{2}+6x \right]_2^4 =](local/cache-TeX/219c07a0847e457682f2bf395e649387.png)

![]()
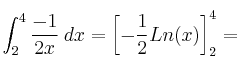
![\int_2^4 \frac{-1}{2x} \: dx=\left[ -\frac{1}{2} Ln(x) \right]_2^4= \int_2^4 \frac{-1}{2x} \: dx=\left[ -\frac{1}{2} Ln(x) \right]_2^4=](local/cache-TeX/0bd159073d9404d5c9b0087809174b53.png)

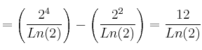
![\int_2^4 2^x \: dx=\left[ \frac{2^x}{Ln(2)} \right]_2^4= \int_2^4 2^x \: dx=\left[ \frac{2^x}{Ln(2)} \right]_2^4=](local/cache-TeX/56314428f0570f1d118bb4d522952637.png)

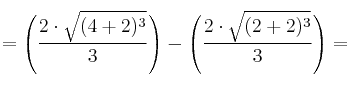
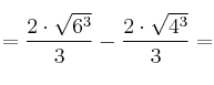
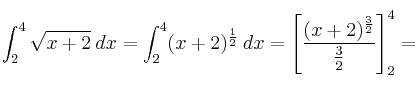
![\int_2^4 \sqrt{x+2} \: dx=\int_2^4 (x+2)^\frac{1}{2} \: dx=\left[ \frac{(x+2)^\frac{3}{2}}{\frac{3}{2}} \right]_2^4= \int_2^4 \sqrt{x+2} \: dx=\int_2^4 (x+2)^\frac{1}{2} \: dx=\left[ \frac{(x+2)^\frac{3}{2}}{\frac{3}{2}} \right]_2^4=](local/cache-TeX/9e832f86e20df35dcc69bd17633e349e.png)
![=\left[ \frac{\sqrt{(x+2)^3}}{\frac{3}{2}} \right]_2^4=\left[ \frac{2 \cdot \sqrt{(x+2)^3}}{3} \right]_2^4 =\left[ \frac{\sqrt{(x+2)^3}}{\frac{3}{2}} \right]_2^4=\left[ \frac{2 \cdot \sqrt{(x+2)^3}}{3} \right]_2^4](local/cache-TeX/3492b5e0df3a328e0a3a8bf6e226a279.png)




Calcula las integrales de las siguientes funciones entre
y
aplicando la regla de Barrow:
–
–
–
–
– ![]()
![\int_2^4 x^5 \: dx = \left[ \frac{x^6}{6} \right]_2^4 = \frac{4^6}{6} - \frac{2^6}{6} = 672 \int_2^4 x^5 \: dx = \left[ \frac{x^6}{6} \right]_2^4 = \frac{4^6}{6} - \frac{2^6}{6} = 672](local/cache-TeX/f086f1be1b3dfa5abd4dee2c7aa289cc.png)
![\int_2^4 (3x^2-5x+6) \: dx= \left[ \frac{3x^3}{3}-\frac{5x^2}{2}+6x \right]_2^4 = \int_2^4 (3x^2-5x+6) \: dx= \left[ \frac{3x^3}{3}-\frac{5x^2}{2}+6x \right]_2^4 =](local/cache-TeX/219c07a0847e457682f2bf395e649387.png)

![]()
![\int_2^4 \frac{-1}{2x} \: dx=\left[ -\frac{1}{2} Ln(x) \right]_2^4= \int_2^4 \frac{-1}{2x} \: dx=\left[ -\frac{1}{2} Ln(x) \right]_2^4=](local/cache-TeX/0bd159073d9404d5c9b0087809174b53.png)

![\int_2^4 2^x \: dx=\left[ \frac{2^x}{Ln(2)} \right]_2^4= \int_2^4 2^x \: dx=\left[ \frac{2^x}{Ln(2)} \right]_2^4=](local/cache-TeX/56314428f0570f1d118bb4d522952637.png)

![\int_2^4 \sqrt{x+2} \: dx=\int_2^4 (x+2)^\frac{1}{2} \: dx=\left[ \frac{(x+2)^\frac{3}{2}}{\frac{3}{2}} \right]_2^4= \int_2^4 \sqrt{x+2} \: dx=\int_2^4 (x+2)^\frac{1}{2} \: dx=\left[ \frac{(x+2)^\frac{3}{2}}{\frac{3}{2}} \right]_2^4=](local/cache-TeX/9e832f86e20df35dcc69bd17633e349e.png)
![=\left[ \frac{\sqrt{(x+2)^3}}{\frac{3}{2}} \right]_2^4=\left[ \frac{2 \cdot \sqrt{(x+2)^3}}{3} \right]_2^4 =\left[ \frac{\sqrt{(x+2)^3}}{\frac{3}{2}} \right]_2^4=\left[ \frac{2 \cdot \sqrt{(x+2)^3}}{3} \right]_2^4](local/cache-TeX/3492b5e0df3a328e0a3a8bf6e226a279.png)



