Integral resuelta de dos formas: inmediata y cambio de variable
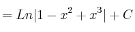
Otra forma de resolver la integral es de forma directa, es decir es una integral inmediata (o directa) de tipo 
 porque el numerador es  la derivada del denominador

![]()
Resuelve la intergral 
 Matemáticas IES