Integral resuelta de dos formas: inmediata y sustitución
Resuelve la intergral 
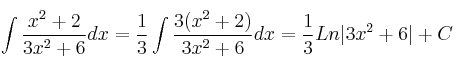
SOLUCIÓN
Otra forma de resolver la integral es de forma directa, es decir es una integral casi inmediata de tipo
porque el numerador es casi la derivada del denominador
La derivada del denominador es 
Necesitaríamos un 3 multiplicando, podemos ponerlo a cambio de multiplicar también por
par que la expresión no cambie.
Como resultado obtendríamos:
