Integral con cambio de variable

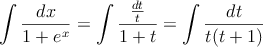
En primer lugar resolvemos la integral indefinida por el método de sustitución
![]()
Aplicamos el cambio
![]()
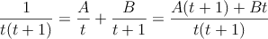
Se ha convertido en una integral racional sencilla, que descomponemos en suma de fracciones simples
![]()
![]()
Si ![]()
Si ![]()
![]()
Ahora deshacemos el cambio de variable
![]()
Recordemos que era una integral definida.
![]()
![]()
![]()
Aplica el cambio
para resolver la integral

Matemáticas IES