Inferencia Estadística
En una muestra aleatoria de 225 individuos se ha obtenido una media de edad de 16,5 años. Se sabe que la desviación típica de la población de la que procede la muestra es 0,7 años. Obtenga un intervalo de confianza al 98% para la media de la población.
SOLUCIÓN
Tomamos los datos:
(tamaño de la muestra)
(media de la muestra)
(desviación típica)
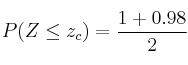
Nivel de confianza:![]()
Cálculo del valor crítico ![]()
Miramos la tabla de la N(0,1) y obtenemos 
El intervalo de confianza sería:

Sustituimos los datos y hacemos los cálculos, obteniendo un intervalo aproximado:
![]()
Mensajes
11 de abril de 2020, 06:31, por ferdinando molina
1.- ) El peso promedio de los alumnos de la Carrera de Agronomia es de 75kg con una desviación típica de 12kg. Hallar la probabilidad de que un alumno tenga un peso:
a) mayor o igual a 82 kg R=(0,2810)
b) menor o igual a 65kg R=(0,20327)
2.-) Se fabrican clavos con un tamaño promedio de 12cm, con una desviación típica de 1,7cm Hallar la probabilidad de que un tornillo mida:
a) 13,5cm o menos R=(0,811)
b) 12,7 o mas R=(0,34097)
Nota: graficar la curva de distribución normal de todos los ejercicios
11 de abril de 2020, 12:01, por dani
Esos ejercicios son de Distribución Normal.
Puedes ver unos cuantos resueltos en el siguiente enlace:
https://matematicasies.com/+-distri...
Si quieres proponer tu propio ejercicio para que te lo resolvamos, debes hacerlo en el siguiente enlace:
https://foro-dudas.gratis