Identidades Notables
Efectúa aplicando las identidades notables:
–
–
– ![]()
SOLUCIÓN
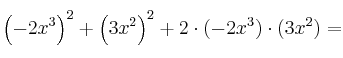
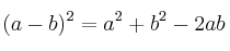
– ![]()
Usaremos la fórmula:
![]()



![]()
![]()
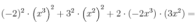
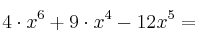
– ![]()
Usaremos la fórmula:
![]()


![]()
![]()
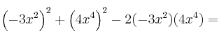
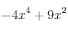
– ![]()
La fórmula a usar es:
![]()


![]()
![]()
Efectúa aplicando las identidades notables:
–
–
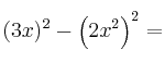
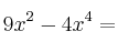
– ![]()
– ![]()
Usaremos la fórmula:
![]()



![]()
![]()
– ![]()
Usaremos la fórmula:
![]()


![]()
![]()
– ![]()
La fórmula a usar es:
![]()


![]()
![]()