Hallar área bajo una función
Halla el área que delimita la gráfica de la función
con el eje de abscisas entre las rectas
y ![]()
SOLUCIÓN
Nos están pidiendo el área bajo una curva en el intervalo [0,2], es decir, el área limitada por la curva, el eje de abcisas y las rectas verticales x=0 y x=2.
Si miramos la teoría, debemos resolver la ecuación
y ver si alguna de las soluciones está dentro del intervalo.
En nuestro caso la función es
y el intervalo ![]()
Resolvemos
y obtenemos como soluciones
y
. La solución
si está dentro del intervalo
, por tanto debemos considerarla y dividir el intervalo
en dos:
y
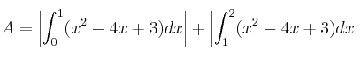
, quedando así nuestra fórmula para calcular el área:

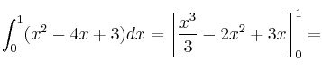
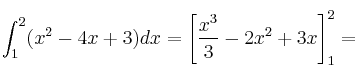
Calculamos primero la integral indefinida:

Y ahora le aplicamos los límites de integración
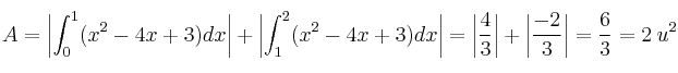
![= \left[ \frac{1^3}{3} - 2 \cdot 1^2 + 3 \cdot 1 \right] - \left[ \frac{0^3}{3} - 2 \cdot 0^2 + 3 \cdot 0 \right] = \frac{4}{3} = \left[ \frac{1^3}{3} - 2 \cdot 1^2 + 3 \cdot 1 \right] - \left[ \frac{0^3}{3} - 2 \cdot 0^2 + 3 \cdot 0 \right] = \frac{4}{3}](local/cache-TeX/fde4a0d3345cab8a69f12628e69b5355.png)
![= \left[ \frac{2^3}{3} - 2 \cdot 2^2 + 3 \cdot 2 \right] - \left[ \frac{1^3}{3} - 2 \cdot 1^2 + 3 \cdot 1 \right] = \frac{2}{3} -\frac{4}{3} = \frac{-2}{3} = \left[ \frac{2^3}{3} - 2 \cdot 2^2 + 3 \cdot 2 \right] - \left[ \frac{1^3}{3} - 2 \cdot 1^2 + 3 \cdot 1 \right] = \frac{2}{3} -\frac{4}{3} = \frac{-2}{3}](local/cache-TeX/1006919a126f90b10c74de3650452438.png)
Recordemos que tenemos que expresarlo en valor absoluto

En la siguiente imagen podemos ver como el área representa 2 unidades cuadradas
Mensajes
26 de febrero de 2022, 20:53, por Amelia
Muchas gracias por la información de áreas bajo función. Saludos Amelia.