Ejercicio proporciones 3010
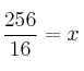
Calcula el valor de
para que se cumpla la siguiente proporción:

SOLUCIÓN

Para que se cumpla la proporción debemos obtener el mismo resultado al multiplicar en cruz.

![]()
.
.
Calcula el valor de
para que se cumpla la siguiente proporción:


Para que se cumpla la proporción debemos obtener el mismo resultado al multiplicar en cruz.

![]()
.
.