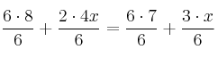
Ejercicio 2679 - Ecuaciones ecuacionesecuaciones con denominadoresecuaciones de primer gradoEjercicios_Resueltos Resuelve la ecuación: SOLUCIÓN Hacemos m.c.m. de los denominadores m.c.m. (3,2)=6 Ahora podemos quitar denominadores Comentar el ejercicio