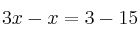
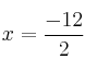
Ecuaciones de primer grado con denominadores 2969 ecuacionesecuaciones con denominadoresecuaciones de primer gradoEjercicios_Resueltos Resuelve la ecuación: SOLUCIÓN Podemos quitar denominadores pasando el "3" que divide al otro lado multiplicando: Quitamos paréntesis Comentar el ejercicio