Dominio de una función de forma analítica
Calcula el dominio de definición de las siguientes funciones:
– a)
– b)
– c)
– d) ![]()
SOLUCIÓN
En las funciones irracionales de índice par (raíz cuadrada, raíz cuarta, ..) el dominio está formado por todos los números que hacen el radicando mayor o igual que 0 (recuerda que raíz cuadrada de negativo no es real).
En las funciones irracionales de índice impar (raíz cúbica, raíz quinta, ..) no tenemos el problema anterior (recuerda que podemos calcular la raíz cúbica de un negativo, por ejemplo ![]()
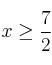
– a) ![]()
![]()
![]()

![]()
![]()
– b) ![]()
![]()
![]()
![]()
– c) 
![]()
La anterior inecuación tiene infinitas soluciones (todos los números son solución).
El término
es siempre
(un número al cuadrado es siempre positivo, independientemente de que la base sea + o -), por tanto
es siempre positivo
![]()
– d) ![]()
![]()
Mensajes
1ro de febrero de 2022, 19:47, por Iván
Eso de ’’Dom(i) = (-\infty, +\infty)’’ sería igual que ’’Dom (f(x)) = IR’’ ???
1ro de febrero de 2022, 21:06, por dani
Si. Es lo mismo