Dibuja parábola 4665
Representa gráficamente la función ![]()
SOLUCIÓN
Representamos la parábola ![]()
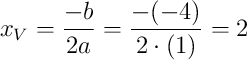
Paso 1 · Cálculo del vértice
Sustituimos
:


![]()
Paso 2 · Orientación de la parábola
Como
, la parábola abre hacia arriba
.
El vértice
es el punto más bajo de la curva.
Paso 3 · Cortes con los ejes
Corte con el eje
— hacemos
:
![]()
Corte con el eje
: ![]()
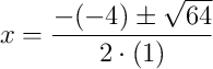
Corte con el eje
— hacemos
:
Igualamos
:
![]()
Calculamos el discriminante
:
![]()
Aplicamos la fórmula general
:

Como
:
![]()
Puntos de corte con el eje
:
y ![]()
Paso 4 · Otros puntos
Calculamos puntos adicionales. Por ejemplo, para
:
![]()

Los puntos
y
son simétricos respecto al eje
.
Paso 5 · Gráfica completa de ![]()
Unimos todos los puntos con la curva: