Navega sin publicidad Regístrate GRATIS

Calcular puntos de corte

💬 2

  corte_ejesEjercicios_Resueltosfunciones

Calcula los puntos de corte con los ejes de coordenadas de la función y=x^2-6x+5

SOLUCIÓN

y=x^2-6x+5

Si x=0 \Longrightarrow y = 0^2-6 \cdot 0+5  \Longrightarrow y =5
El punto de corte es (0,5)

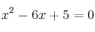
Si y=0 \Longrightarrow 0 = x^2-6x+5
Resolvemos la ecuación x^2-6x+5=0 y obtenemos como soluciones x=1 y x=5
Los puntos de corte son (1,0) y (5,0)

Si usamos software para dibujar la función podemos ver que los resultados son correctos

Corte de la parábola con los ejes de coordenadas
Puntos de corte de y=x²-6x+5 con los ejes de coordenadas

Comentar el ejercicio