Área y perímetro de figuras circulares
Halla el área y el perímetro de las siguientes figura:
Figura circular
área de figuras circulares
SOLUCIÓN
Observemos la siguiente imagen
Área de figura circular 4334
área de figura circular 4334
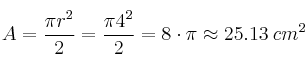
Podemos ver que el área será:
Semicírculo azul - Semicírculo verde + Semicírculo rojo
Como los semicírculos verde y rojo son iguales, el área será el semicírculo grande azul (que tiene de radio 4 cm)

Para hallar el perímetro tenemos que sumar una semicircunferencia grande (azul) + una semicircunferencia pequeña (roja) + una semicircunferencia pequeña (verde)

Mensajes
5 de noviembre de 2019, 21:26, por monica
Buenas noches Dani!!
Antes que nada, muchísimas gracias por todo el material; resulta muy útil a la hora de hacer repaso.
Solo una cosita, pero: al perímetro del ejercicio creo que le falta otra media circunferencia (la roja ) ;)
Un saludo,
Mónica
5 de noviembre de 2019, 22:32, por dani
Muchas gracias Mónica.
Vuestras aportaciones me ayudan a mejorar la web, lo cual redundará en beneficio de todos.
Un saludo.
10 de noviembre de 2021, 16:04, por null
no es 25’13 es 25’12 ya que ocho por cuatro es treinta y dos se queda el dos y el último número es dos
11 de noviembre de 2021, 10:35, por dani
Eso sería tomando pi como 3.14 (una aproximación muy pobre).
Tomando el valor real de pi sería 25,132741229···