Área encerrada entre dos parábolas
Calcula el área encerrada entre las curvas
y ![]()
SOLUCIÓN
Seguimos el procedimiento descrito en este vídeo
Igualamos las funciones para obtener los puntos donde se cortan
![]()
Resolvemos la ecuación de segundo grado

![]()
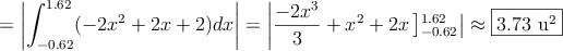
![]()
Calcula el área encerrada entre las curvas
y ![]()
Seguimos el procedimiento descrito en este vídeo
Igualamos las funciones para obtener los puntos donde se cortan
![]()
Resolvemos la ecuación de segundo grado

![]()
![]()